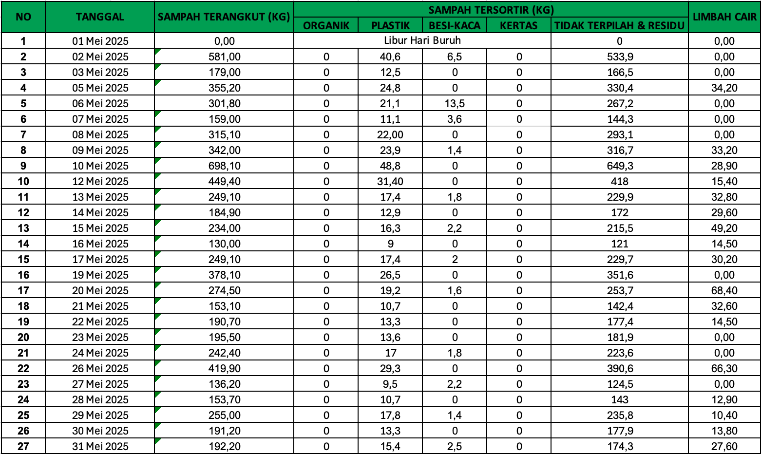
DASHBOARD MEI SAMPAH TERANGKUT PLASTIK BESI - KACA TIDAK TERPILAH & RESIDU LIMBAH CAIR SATUAN KG 0 SATUAN KG 0 SATUAN KG 0 SATUAN KG 0 SATUAN KG 0 PEMILAHAN SAMPAH DATA SAMPAH BAGAN SAMPAH No Data Found REKAP BULANAN No Data Found DOKUMENTASI BACK TO DASHBOARD